A medida que vas avanzando de nivel académico te vas a ir encontrando con temas de clase que pueden resultar más y más complejos. En el caso de matemática, luego de haberte enfrentado a las ecuaciones de primer grado, te tocará resolver ecuaciones de segundo grado. Sabemos que esto puede ser complicado, por ello en el artículo de hoy te explicaremos cómo resolverlas.
Como bien sabrás, toda ecuación es una operación matemática en la que cual se nos presenta un problema a resolver en el que desconocemos uno de los números de la misma. Ese número que se desconoce es denominado como incógnita o variable y toda la operación la deberás resolver en busca de cuál es el número que esconde la misma.

Ahora bien, ecuaciones las hay de muchos tipos y los mismos varían según la potencia a la cual está elevada la incógnita. Por ese motivo, cuando estamos ante una ecuación de segundo grado, debes saber que se trata de ecuaciones cuya incógnita está elevada a la segunda potencia. Esto quiere decir que es la incógnita se debe multiplicar por sí misma.
Puesto que ya conoces a profundidad la definición de lo que es una ecuación de segundo grado, es momento de proceder a explicar cómo resolverlas. Para que obtengas información completa, te explicaremos los pasos a seguir según tres tipos de ecuaciones. Es decir, las ecuaciones completas, ecuaciones que les falta la B y ecuaciones que les falta la C.
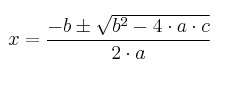
Para comprender esto debes entender la fórmula común en la que se presenta este tipo de ecuación: ax2 + bx + c = 0. La cual, para proceder a resolver, deberá de ser organizada de la siguiente manera:

En la cual, la letra a es la que acompañará siempre a la x2, la letra b es la acompañará a la x y la letra c es el único valor que conocemos realmente.
Iniciarás resolviendo la potencia que se encuentra dentro de la raíz cuadrada, para luego resolver la suma dentro de la misma y, entonces sí, resolver la raíz cuadrada por sí misma. Debes tener en cuenta que este tipo de ecuaciones tienen dos resultados, por ello tienen el símbolo de ±.
Ahora bien, cada resultado de esta ecuación se realizará realizando una suma y una resta. Es decir que, para el primer resultado de tu ecuación deberás de sumar y luego resolver la fracción. Mientras que para el otro resultado deberás de restar y luego resolver la ecuación.
En caso de que el resultado de tu ecuación sea un número negativo quiere decir que la misma no tiene solución, cosa que puede pasar en muchos casos. Además de esto, si el resultado es 0, deberás de colocar que es un resultado doble.
Para este tipo de ecuación, lo primero a realizar es pasar el valor numérico que sí conozcas al lado del signo =. Luego de ello, deberás de pasar la potencia también al otro lado de la ecuación convirtiéndola en una raíz cuadrada.
De esa manera, todo lo que te quedará por hacer es resolver la raíz cuadrada. Para obtener los dos resultados necesarios simplemente deberás colocar uno en positivo y otro en negativo a pesar de que sean el mismo valor.
Para este tipo de ecuación es de suma importancia que sepas trabajar con el factor de los polinomios. Teniendo esto en cuenta, deberás iniciar encontrando el factor común existente en los valores correspondientes al polinomio. De ese modo, el primer resultado siempre será que la x fuera de los paréntesis será igual a 0.

Luego de esto, el segundo resultado será aquel que resulte de la ecuación que se encuentra con los valores ubicados dentro de los paréntesis. Al resolver dicha operación ya tendrías los dos resultados necesarios para este tipo de ecuación. Si bien existen diversas formas de resolver ecuaciones de segundo grado, las que te hemos explicado son las más simples y rápidas.
Sabemos que matemática es una de las materias más complicadas de comprender de todas. El porcentaje de estudiantes que la reprueban o deben repetirla es realmente grande. Por ello, si no es solamente el hecho de resolver ecuaciones de segundo grado lo que te cuesta, sino también otro tipo de problemas matemáticos, puedes necesitar la ayuda de un profesor particular.
Si ese es tu caso, WeSmartly es la plataforma idónea para ayudarte con ello. En nuestra web podrás hallar profesores de diversas áreas preparados y dispuestos para ayudarte. Así que no temas en pedir ayuda extra, lo importante siempre será reforzar tu aprendizaje y aprobar todas tus asignaturas académicas.