As you move up the academic ladder, you will encounter more and more complex topics in class. In the case of mathematics, after you have dealt with first-degree equations, you will have to solve second-degree equations. We know this can be tricky, so in today's article we'll explain how to solve them.
As you know, every equation is a mathematical operation in which we are presented with a problem to solve in which we do not know one of the numbers in the equation. This unknown number is called the unknown or variable and the whole operation must be solved in search of the number that hides it.

Now, there are many types of equations and they vary according to the power to which the unknown is raised. For this reason, when we are dealing with a second degree equation, you should know that these are equations whose unknown is raised to the second power. This means that the unknown must be multiplied by itself.
Now that you have a thorough understanding of the definition of a quadratic equation, it is time to explain how to solve them. In order for you to get complete information, we will explain the steps to follow according to three types of equations. That is, complete equations, equations that are missing the B and equations that are missing the C.
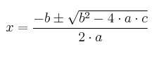
To understand this you must understand the common formula in which this type of equation is presented: ax2 + bx + c = 0. Which, to proceed to solve, must be organized as follows:

In which, the letter a is the one that will always accompany the x2, the letter b is the one that will accompany the x and the letter c is the only value that we really know.
You will start by solving the power inside the square root, then solve the sum inside the square root, and then solve the square root by itself. Note that these equations have two results, which is why they have the ± symbol.
Now, each result of this equation will be made by performing an addition and a subtraction. In other words, for the first result of your equation you will have to add and then solve the fraction. While for the other result you must subtract and then solve the equation.
If the result of your equation is a negative number, it means that the equation has no solution, which can happen in many cases. In addition to this, if the result is 0, you should state that it is a double result.
For this type of equation, the first thing to do is to pass the numerical value that you do know next to the = sign. After that, you must also pass the power to the other side of the equation, converting it to a square root.
That way, all you have left to do is solve for the square root. To get the two results you will simply have to put one in positive and one in negative, even though they are the same value.
For this type of equation it is very important that you know how to work with the factor of polynomials. With this in mind, you should start by finding the common factor in the values corresponding to the polynomial. Thus, the first result will always be that the x outside the brackets will be equal to 0.

After this, the second result will be the one that results from the equation found with the values located inside the brackets. By solving this operation, you would already have the two results needed for this type of equation. Although there are several ways to solve quadratic equations, the ones we have explained are the simplest and quickest.
We know that maths is one of the most difficult subjects to understand. The percentage of students who fail it or have to repeat it is really high. Therefore, if it is not only solving second degree equations that you find difficult, but also other types of mathematical problems, you may need the help of a private tutor.
If that is your case, WeSmartly is the ideal platform to help you with that. On our website you can find tutors from various fields ready and willing to help you. So don't be afraid to ask for extra help, the important thing will always be to reinforce your learning and pass all your academic subjects.